Najneskorsi prichod rieseni: 5. november 1993 Adresa: FKS, KZDF MFF UK, Mlynska dolina, 842 15 Bratislava
A-2.1 (5 bodov)
Je vseobecne zname, ze James Cook mal dost vybusnu povahu. Raz v Oceanii sa dokonca dostal pred tamojsi sud za svoje vycinanie. Sudy na ostrove pouzivali zvlastne tresty. Odsudeneho zhadzovali z previsnuteho brala do priepasti. Vska brala bola 50 yardov. Aby mal odsudeny aku-taku sancu, priviazali ho za nohu na lianovy povraz, ktory bol upevneny na brale. Niekedy povraz stacil ubrzdit pad, niekedy nie... V pripade kapitana Cooka ho ubrzil v poslednej chvili. Ked sa nakoniec prestal povraz hupat, kapitan visel 10 yardov nad zemou. Cestovatel potom popisal svoje zazitky slovami: "Letel som ako vtak, rychlostou najmenej 299 uzlov." O kapitanovi je tiez zname, ze rad zvelicoval. Zvelicoval aj tentoraz? Ako rychlo mohol letiet, ak zanedbame odpor vzduchu?A-2.2 (6 bodov)
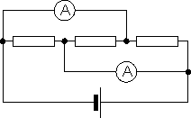
V scheme ukazuju ampermetre hodnoty 0,2 A a 0,3 A. Ked sme navzajom vymenili dva rezistory, udaje na ampermetroch sa nezmenili. Napatie na baterii sa nemeni a odpor ampermetrov je zanedbatelny. Aky prud tecie bateriou?
A-2.3 (6 bodov)
Predstavte si, ze stojite pred velkou tabulou hrubeho priezracneho skla (napr. pred sklenym vykladom). Zistite hrubku tohto skla s nepristupnymi okrajmi (neda sa zboku ohmatat - je zamurovane, rozbit, dostat sa k nemu z druhej strany). Mate k dispozicii pravitko so stupnicou, ceruzku, kalkulacku (na vypocty). Pozor! Neviete, aky druh skla mate pred sebou a teda ak je to potrebne, aj index lomu musite urcit experimentalne.A-2.4 (7 bodov)
Na idealnej lahkej nepretiahnutelnej niti je pripevnena gulova lahka pevna nadoba. Nadoba je uplne naplena vodou. Cela sustava sa kyva s periodou T1. Potom nechame vodu zamrznut a kyva sa s periodou T2. Urcte pomer T1/T2. Objemovu roztaznost mozete zanedbat.